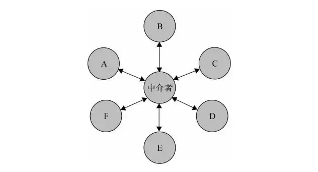
中介模式定义了一个单独的(中介)对象,来封装一组对象之间的交互。将这组对象之间的交互委派给与中介对象交互,来避免对象之间的直接交互。
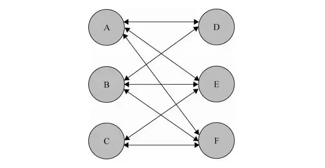
在实际的项目中,程序由许多对象组成,对象间的交流错综复杂。

随着应用程序的规模增大,对象越来愈多,他们之间的关系也越来复杂。对象间很容易出现相互引用而导致程序无法运行。同时开发者需要改变或者删除某一个对象时候,需要查找并且改造所有引用到它的对象。这样一来,改造的成本会变的非常高。
但中介者模式可以让各个对象之间得以解耦。

之前的场景下,如果 A 发生了改变,开发者需要修改 B、D、E、F 4 个对象,而通过中介者模式,我们只需要修改中介者这一个对象即可。
中介者的好处是简化了对象之间的交互,坏处则是中介类有可能会变成大而复杂的“上帝类”(God Class)。所以,在使用中介者模式时候,设计上一定要非常克制。
实际使用
在前端项目开发的过程中,有很多业务无关的功能,但这些功能会散落在各个业务中,难以管理,我们利用中介者模式的思想来构建一个的控制器。
基础控制器
// axios 请求工具
import axios from "axios";
// mitt 微型发布订阅工具
import mitt from "mitt";
const createApi = ($controller) => {
const api = axios.create({
baseURL: "/api",
timeout: 10000,
});
api.interceptors.request.use(() => {
// 可以通过 $controller.tmpCache 缓存一些数据
});
return api;
};
const createBus = () => mitt();
class Controller {
// 临时缓存,也可以添加更复杂的缓存
tmpCache: Record<string, any> = {};
// 事件总线
bus = createBus();
constructor() {
this.api = createApi(this);
}
static instance: Controller | null = null;
static getInstance() {
if (!Controller.instance) {
Controller.instance = new Controller();
}
return Controller.instance;
}
}
export default Controller;此时控制器中有一个极简的缓存 tmpCache,发布订阅工具。以及服务端请求方法 api。开发者只需要导入 Controller 类即可使用。如果后续需要更加复杂的缓存或者改造 api(如切换为 fetch)请求方法。开发者可以很快的进行替换。而无需改造对应文件。
import axios from "redaxios";
const createApi = ($controller) => {
const api = axios.create({
baseURL: "/api",
});
const getOld = api.get;
api.get = (...params) => {
// 如果出发缓存直接返回
// if (xxx) {
// return $controller.tmpCache
// }
return getOld(...params);
};
return api;
};添加用户类
登录的用户信息以及对应操作可以说是对象交互的核心,将其放入控制器中。
class User {
readonly $controller: Controller;
user: User | null = null;
constructor($controller: Controller) {
this.$controller = $controller;
}
getData(key?: string) {
return key ? this.user[key] : this.user;
}
// 登录
login(params) {
$controller.api.post("/login", params).then((response) => {
// 处理授权以及 user 信息
});
}
// 退出
logout() {
$controller.api.post("/logout").then(() => {
// 清理对应数据
$controller.tmpCache = {};
this.user = null;
});
}
// 设置用户配置
setSetting(params) {
return $controller.api.post("/setting", params).then(() => {
this.user.setting = params;
});
}
}
class Controller {
constructor() {
this.api = createApi(this);
this.user = new User(this);
}
logout() {
this.user.logout();
}
}此时控制器已经具备前端开发中“大部分”功能了,如数据缓存,数据请求,登录用户信息处理等。大部分情况下,中介类也基本够用了。至于其他的工具类,除非 80% 的业务都会用到,否则不建议添加到此类中去。但对于这些工具做一层简单的封装也是必要的(考虑后续成本)。
添加业务类
此时控制器有了用户信息,多种缓存,请求方法等。我们可以通过注入来实现其他业务。
class BasicService {
constructor($controller) {
this.api = $controller.api;
this.bus = $controller.bus;
}
}
class OrderService extends BasicService {
static xxxKey = "xxxx";
constructor($controller) {
super($controller);
// 使用全局缓存
this.cache = $controller.xxxCache;
// 或者构建一个新的 cache 挂载到 controller 上
this.cache = $controller.getCreatedCache("order", XXXCache);
}
getOrders = async () => {
if (this.cache.has(OrderService.xxxKey)) {
return this.cache.get(OrderService.xxxKey);
}
let orders = await this.api.get("xxxxx");
// 业务处理,包括其他的业务开发
order = order.map();
this.cache.set(OrderService.xxxKey, orders);
// 可以发送全局事件
this.bus.emit("getOrdersSuccess", orders);
return orders;
};
clear() {
// 如果构建一个新的缓存对象,直接 clear 即可 this.cache.clear();
this.cache.delete(OrderService.xxxKey);
}
}
class Controller {
// 临时缓存,也可以添加更复杂的缓存
tmpCache: Record<string, any> = {};
// 事件总线
bus = createBus();
services: Record<string, BasicService> = {};
getService(serviceCls) {
// 同一个类 name 为相同的名称
const { name } = serviceCls;
if (!this.services[name]) {
this.services[name] = new serviceCls(Controller.instance);
}
return this.services[name];
}
}开发者可以在具体的代码中这样使用。
import Controller from "../../controller";
import OrderService from "./order-service";
// A 页面
const orderService = Controller.getInstance().getService(OrderService);
const priceService = Controller.getInstance().getService(PriceService);
// B 页面都会使用同一个服务
const orderService = Controller.getInstance().getService(OrderService);有同学可能会奇怪,为什么 Controller 不能直接导入或者自动注入 OrderService 呢。这样使用的原因是往往 Controller 和 BasicService 在基础类中,具体的业务类分布在各个业务代码中。
这里没有使用任何依赖注入的框架,原因是因为如果引入了依赖注入会大大增加复杂度。同时前端的业务都是分散的,没有必要都放在一起。在组件需要使用到服务候才将其装载起来。